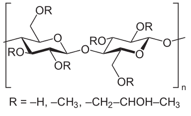
HPMC is the abbreviation of Hydroxy Propyl Methyl Cellulose. Hydroxypropyl methylcellulose is an odorless, non-toxic white powder that dissolves in cold water to form a clear, viscous solution. HPMC has thickening ability, salt discharge, pH stability, water retention, dimensional stability, excellent film formation and a wide range of enzyme resistance, dispersibility and adhesion. It is widely used in construction materials, coatings, synthetic resins, ceramics, medicine, food, textile, agriculture, cosmetics, tobacco and other industries.

Its main uses in different industries are as follows:
- Construction industry: As a water retaining agent and retarder for cement mortar, the mortar has pumpability. It can improve the dispersion of cement-sand, greatly improving the plasticity and water retention of the mortar, which also has an effect on preventing cracks, and can enhance the strength of the cement. The water retention of HPMC enables the slurry to not crack too quickly after application, and enhances the strength after hardening.
- Ceramic manufacturing: this material is widely used as a binder in the manufacture of ceramic products.
- Coating industry: HPMC can be used as a thickener, dispersant and stabilizer in the coatings industry. Because it has good compatibility in water and organic solvents, it can be also used as a paint remover.
- Cosmetics industry: HPMC improves the viscosity of shampoos and the like, and also improves the fluidity of toothpaste.
- Plastic: HPMC are used as a mold release agent, softener, lubricant, etc.
- Food industry: HMPC can be used as an emulsifying stabilizer or thickener for sauces and ketchup. It also has the effect of improving the taste of some foods and achieving the effect of preserving freshness.
- Pharmaceutical industry: As a coating material, HPMC can be made into a solution of an organic solvent or an aqueous solution, especially for spraying the prepared granules. It is also widely used as a thickener, a sustained release agent, and a solid dispersant material. Meanwhile, it is also of great use in the manufacture of capsules. Wanting to know more information about hpmc capsules, click here to view details.

